当前位置:首页>>广州有道有限元>>Pro/E技术
张磊 徐昌贵 来源:万方数据
关键字:包装机械 分件供送螺杆 扫描 Pro/E
分件供送螺杆装置是灌装机中的关键零部件,介绍了应用Pro/E三维设计软件进行变距组合式螺杆的造型设计方法。设计过程中按推导出的数学方程构造各段螺旋线,并以该螺旋线作为扫描轨迹,遵循范成法原理包络出螺杆的各段螺旋曲面。该方法可以广泛应用于其它运动规律变螺距螺旋线螺杆的造型设计。
灌装机械是包装机械中的一个重要的类别,是一种特殊类型的专业机械。灌装机上的分件供送螺杆装置可按某种工艺要求将规则或不规则排列的容器、物件以确定的速度、方向和间距分批或逐个地供送到给定的工位,分件供送装置是整个设备的"咽喉",分件螺杆又是分件供送装置中最重要的零件,现有的研究工作主要集中在变螺距螺旋线的理论、设计和螺杆的加工方法方面,笔者用Pro/ENGINEER有关截面扫描功能,构造变螺距螺杆三维实体模型,为变螺距螺杆的数控加工可视化提供图形显示依据。
1、螺杆螺旋线的数学模型
图1所示三段式组合螺杆是典型的要嗓距分件螺杆。在螺杆起始段。为了改善进瓶的平稳性,采用等螺距实现等速送料;在中间段,螺杆的供送加速度由零值依正弦函数变化规律增至最大值,为变加速度段;在后段,瓶子加速运动,以便逐渐增大进瓶的速度和间距,最终与拨瓶星轮同步,为等加速度段。由于变螺距螺杆螺旋线的特殊性,在等加速度段和变加速度段上,螺距关于螺旋线圈数变量的函数是多项式方程,所以不能直接采用变螺距螺旋扫描特征命令对其造型。由于供送螺杆是以螺杆和被供件的空间相贯运动为特点的,两者的相对运动范成出变参数螺杆的槽型,采用范成法构造螺杆三维实体模型,可复现变螺距螺旋曲面的包络形成原理,精确构造出螺杆的各段螺旋曲面。

螺杆设计的原始参数包括:螺杆外径D (mm)、螺杆内径do ( mm)、供送件直径ρ (mm)、螺杆转速n ( r/min)、变速圈数N、初始螺距So ( mm)、拨轮节距S1( mm)螺杆转动到任意点时转动的圈数i。
加速度类型的选择决定了螺杆上各个位置的曝距和螺杆的运动规律。一般的加速度类型包括等速\等加速、半正弦加速以及各种各样的组合形式。下面分析各个运动规律的螺旋线的数学表达式。
1)等速运动段:

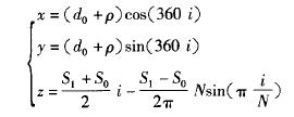
2)半正弦加速运动段

![]()
3)等加速运动段:

以上的分析推导内容是设计变距螺杆的理论基础。通过这些公式可以编写函数计算出对应于供送件运动任意时刻的位移螺杆上螺旋线的位置,进而确定扫描特征的扫描轨迹。
2变螺距螺杆的造型步骤
Pro /ENGINEER(以下简称Pro /E)软件系统是美国PTC公司1989年推出的产品,是一个用于产品的三维模型设计、加工分析及绘图等的CAD /CAE /CAM软件系统,利用其扫描特征命令可以方便的构造螺杆的三维实体模型。供送螺杆的参数如下:被供送件直径为ρ为63mm,螺杆的底径do为80mm,螺杆外径D为110mm,等速段螺距So为75 mm,变速圈数No为1.5,半正弦加速运动段末端螺距S1为150mm,变速圈数N1为2,拨轮节距St为300mm ,变速圈数Nt为2,螺杆全长850mm。
步骤1:创建图2所示的实体旋转特征。

选择"插入""旋转"命令,进入草图环境后,绘制旋转特征的截面草图,见图3所示,定义旋转角度为360°,完成特征的创建。

步骤2.绘制图4所示的三段螺旋线。

选择"插入"-"模型基准"-"曲线"命令,在弹出的菜单管理器的"曲线选项"中选择"从方程"然后根据提示选择方程的坐标系,并选择笛卡儿坐标类型。在弹出的记事本界面中,按照式1和螺杆参数在记事本中编辑螺旋线方程,得到等速段螺旋线。重复以上步骤绘制正弦加速度段和等加速度段螺旋线。
步骤3:绘制图5所示的可变剖面扫描。

由于按方程绘制的基准曲线不能作为"扫描切口"命令的扫描轨迹,所以需要按曲面相交的方式生成与三段螺旋线重合的扫描轨迹,两个相交曲面之一为图5所示由螺旋线生成的可变剖面扫描,另一个为圆柱面。见图6所示先绘制一条与轴线重合的直线作为扫描用的原点轨迹,选择"插入"-"可变剖面扫描",在操控板中选中"曲面"图标,见图6所示选择直线和等速段螺旋线作为原点轨迹和X轨迹。在草绘环境中绘制过圆心的、长度为do + ρ的直线作为扫描剖面,得到对应于等速段的扫描面。重复以上步骤绘制正弦加速度段和等加速度段扫描面。

步骤4用"相交"命令生成图7所示的最终扫描轨迹。

选择"插入""拉伸"命令,在操控板中选中"曲面"图标,创建一个直径为do+ρ的圆柱面。选中步骤3所创建的任一扫描面后,选择"插入"-"相交"命令,根据提示继续选择圆柱面,两面组相交可得到它们的交线曲线链。重复以上步骤可生成整段螺旋线的曲线链。为方便后续造型工作,可将以前步骤生成的曲线和曲面隐藏,只显示曲线链和实体。
步骤5:用"扫描切口"命令完成见图8所示的螺杆模型。

选择"插入"。"扫描'。"切口"命令,在菜单管理器的"扫描轨迹"选项中选择"选取轨迹",在"链"中选择"曲线链",并根据提示选取步骤四生成的某段曲线链作为扫描轨迹,并确定截面定义方向和扫描截面的向上方向。在草绘懂截面时绘制圆作为扫描剖面形状见图9,按被供送件直径参数确定圆直径,最后选择要删除的区域,完成扫描切口特征。

3结语
基于Pro/E的强大的零件建模功能,在研究变距螺旋曲面生成原理的基础上,提出了采用扫描切口特征生成变距螺旋面的新方法。该方法可广泛应用于其它运动规律变螺距螺旋线螺杆的造型设计,也可用于某些异形瓶罐的供送螺杆的造型设计。
相关标签搜索:广州有限元培训 solidworks培训 CAD培训 ansys培训 solidworks proe培训 运动仿真 有限元FEA
客服在线请直接联系我们的客服,您也可以通过上面的方式进行在线报名,我们会及时给您回复电话,谢谢!
广州总部:广州市东风东路733号羊城同创汇编辑楼12楼
电话:020-83322285
137-1124-1980
点击图标或添加QQ:503841570
E-mail:fea@020fea.com
广州详细交通线路 >>>东莞分公司: 东莞市莞城区莞太路34号创意产业园11号楼5楼
手机:133-3285-6491
点击图标或添加QQ:503841570
E-mail:fea@020fea.com
东莞详细交通线路 >>>佛山分公司:佛山市禅城区季华一路28号智慧新城T15栋4楼401A
手机:133-3285-6491
点击图标或添加QQ:2459395568
E-mail:fea@020fea.com
佛山详细交通线路 >>>