此页面上的内容需要较新版本的 Adobe Flash Player。

获取 Adobe Flash Player

当前位置:首页>>广州有道有限元>>Pro/E技术

Pro/E螺杆的造型设计

2012-01-13 17:24  by:广州Pro/E培训  来源:广州有道有限元

Pro/E螺杆:

      灌装机械是包装机械中的一个重要的类别,是一种特殊类型的专业机械。灌装机上的分件供送螺杆装置可按某种工艺要求将规则或不规则排列的容器、物件以确定的速度、方向和间距分批或逐个地供送到给定的工位,分件供送装置是整个设备的"咽喉",分件螺杆又是分件供送装置中最重要的零件,现有的研究工作主要集中在变螺距螺旋线的理论、设计和螺杆的加工方法方面,笔者用Pro/ENGINEER有关截面扫描功能,构造变螺距螺杆三维实体模型,为变螺距螺杆的数控加工可视化提供图形显示依据。
   
    1、螺杆螺旋线的数学模型
   
    图1所示三段式组合螺杆是典型的要嗓距分件螺杆。在螺杆起始段。为了改善进瓶的平稳性,采用等螺距实现等速送料;在中间段,螺杆的供送加速度由零值依正弦函数变化规律增至最大值,为变加速度段;在后段,瓶子加速运动,以便逐渐增大进瓶的速度和间距,最终与拨瓶星轮同步,为等加速度段。由于变螺距螺杆螺旋线的特殊性,在等加速度段和变加速度段上,螺距关于螺旋线圈数变量的函数是多项式方程,所以不能直接采用变螺距螺旋扫描特征命令对其造型。由于供送螺杆是以螺杆和被供件的空间相贯运动为特点的,两者的相对运动范成出变参数螺杆的槽型,采用范成法构造螺杆三维实体模型,可复现变螺距螺旋曲面的包络形成原理,精确构造出螺杆的各段螺旋曲面。
   


    螺杆设计的原始参数包括:螺杆外径D (mm)、螺杆内径do ( mm)、供送件直径ρ (mm)、螺杆转速n ( r/min)、变速圈数N、初始螺距So ( mm)、拨轮节距S1( mm)螺杆转动到任意点时转动的圈数i。
   
    加速度类型的选择决定了螺杆上各个位置的曝距和螺杆的运动规律。一般的加速度类型包括等速\等加速、半正弦加速以及各种各样的组合形式。下面分析各个运动规律的螺旋线的数学表达式。
   
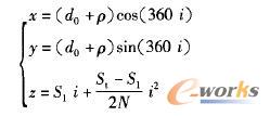
    1)等速运动段:


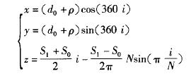
    2)半正弦加速运动段


    3)等加速运动段:
   


    以上的分析推导内容是设计变距螺杆的理论基础。通过这些公式可以编写函数计算出对应于供送件运动任意时刻的位移螺杆上螺旋线的位置,进而确定扫描特征的扫描轨迹。

变螺距螺杆的造型步骤
   
    Pro /ENGINEER(以下简称Pro /E)软件系统是美国PTC公司1989年推出的产品,是一个用于产品的三维模型设计、加工分析及绘图等的CAD /CAE /CAM软件系统,利用其扫描特征命令可以方便的构造螺杆的三维实体模型。供送螺杆的参数如下:被供送件直径为ρ为63mm,螺杆的底径do为80mm,螺杆外径D为110mm,等速段螺距So为75 mm,变速圈数No为1.5,半正弦加速运动段末端螺距S1为150mm,变速圈数N1为2,拨轮节距St为300mm ,变速圈数Nt为2,螺杆全长850mm。
   
    步骤1:创建图2所示的实体旋转特征。
   


相关标签搜索:广州Pro/E培训  Pro/E螺杆的造型设计  螺杆螺旋线设计  广州有限元培训  solidworks培训  CAD培训  ansys培训  solidworks  proe培训  运动仿真  有限元FEA  

编辑

姓      名:

培训课程:

联系电话:

联系Q Q:

请留下您的有效联系方式,以便我们能联系到您 ^v^

验证码: 验证码

客服在线请直接联系我们的客服,您也可以通过上面的方式进行在线报名,我们会及时给您回复电话,谢谢!

广州总部:广州市东风东路733号羊城同创汇编辑楼12楼

电话:020-83322285

137-1124-1980

培训QQ咨询:

项目QQ咨询:

点击图标或添加QQ:503841570

E-mail:fea@020fea.com

广州详细交通线路 >>>

东莞分公司: 东莞市莞城区莞太路34号创意产业园11号楼5楼

手机:133-3285-6491

培训QQ咨询:

项目QQ咨询:

点击图标或添加QQ:503841570

E-mail:fea@020fea.com

东莞详细交通线路 >>>

佛山分公司:佛山市禅城区季华一路28号智慧新城T15栋4楼401A

手机:133-3285-6491

培训QQ咨询:

项目QQ咨询:

点击图标或添加QQ:2459395568

E-mail:fea@020fea.com

佛山详细交通线路 >>>